Hoe zit het met functionele agrobiodiversiteit in biologische tunnelteelten?
Binnen het B-LAB project – BladLuisbeheersing door Aantrekken van nuttigen in Biologische tunnelteelten, onderzoeken Viaverda en HOGent hoe functionele agrobiodiversiteit kan bijdragen aan plaagbeheersing in biologische tunnelteelten van groenten en bloemen.
Om inzicht te krijgen in bladluisproblemen en de huidige aanpak van telers, werd een bevraging uitgevoerd bij bio-groente- en siertelers. Daarnaast werd een eerste monitoringscampagne opgezet op twee proeflocaties van Viaverda: een bloementeelt in Destelbergen en een groenteteelt in Kruisem. Zowel binnen als buiten de tunnels werd de aanwezigheid van plagen en natuurlijke vijanden in kaart gebracht.
Sectorbevraging B-LAB: ervaringen met bladluis en nuttigen
Aan de bevraging namen 11 biotelers met tunnelteelten deel (6 groentetelers en 5 siertelers). De focus lag vooral op het voorkomen van bladluizen doorheen het teeltseizoen, de timing en hardnekkigheid van bladluisproblemen en het gebruik van functionele agrobiodiversiteit, zoals indicatorplanten, lokplanten en maatregelen ter ondersteuning van nuttige insecten.
De resultaten bevestigen een gekend knelpunt: bladluizen vormen vooral in het vroege voorjaar een groot probleem in tunnelteelten.
Bij siertelers duiken bladluizen vooral op in vroege bloementeelten, met name ranonkel. Vier van de vijf siertelers gaven aan dat bladluizen hier al vanaf begin maart tot eind april / begin mei ernstige schade kunnen veroorzaken. Maar ook in andere éénjarige sierteeltgewassen worden problemen gesignaleerd.
In de groenteteelt treden bladluizen in het voorjaar vooral op in komkommer, paprika, aubergine en sla. Bij sommige telers houdt de druk aan in de zomer. In het najaar verschuift het probleem naar teelten zoals andijvie en koolgewassen (spruitkool, bloemkool en boerenkool), met pieken in augustus–september.
Indicatorplanten en lokplanten: bekend concept, uiteenlopende toepassing
Indicatorplanten: vroege waarschuwing
Indicatorplanten (signaalplanten) zijn extra gevoelig voor bladluizen en dienen als ‘alarmbel’. Ze maken het mogelijk om aantastingen vroeg te detecteren, nog vóór het hoofdgewas schade vertoont. Voorbeelden zijn Oost-Indische kers (Tropaeolum majus) en tuinboon (Vicia faba).
In de praktijk worden deze planten echter nog weinig gebruikt. Enkele telers geven aan dat ze wel werken met gele vangplaten als hulpmiddel bij de monitoring van bladluizen.

Lokplanten: buffet voor nuttigen
Lokplanten hebben een andere functie: ze trekken bladluizen aan en vormen tegelijk een voedselbron voor natuurlijke vijanden zoals lieveheersbeestjes, gaasvliegen en sluipwespen. Zo dragen ze bij aan natuurlijke plaagonderdrukking.
Ongeveer de helft van de telers gebruikt Oost-Indische kers als lokplant. Daarnaast worden onder meer korenbloem, goudsbloem, kaasjeskruid, tuinboon, dille, venkel, kamille, boerenwormkruid en brandnetel genoemd.
Niet alle soorten worden in de tunnel zelf gebruikt. Sommige (zoals brandnetel en boerenwormkruid) blijven behouden in wildstroken rond de tunnel. Telers verzamelen daar soms nuttige insecten om ze vervolgens in de tunnel uit te zetten.
Combinatieteelten: nog beperkt in tunnels
Combinatieteelten – waarbij nuttigenbevorderende planten tussen het hoofdgewas groeien – worden in tunnels nog nauwelijks toegepast. Slechts één teler meldde ervaring (in openluchtteelt) met combinaties van kruiden en bloemen tussen kolen. In tunnels werden geen concrete toepassingen genoemd.
Overwintering en uitzetten van nuttigen
Veel telers nemen wel al maatregelen om natuurlijke vijanden te ondersteunen en te laten overwinteren. Acht van de elf laten bewust plantmateriaal laten staan tijdens de winter, zoals stoppels, teeltresten, wildstroken, takkenrillen, hagen en bladafval. Daarnaast zet meer dan de helft actief nuttigen uit door aankoop van biologische bestrijders of het zelf verzamelen van insecten uit de omgeving.
Conclusie van de bevraging
Bladluizen vormen een terugkerend en vaak vroeg probleem in biologische tunnelteelten.
Hoewel indicatorplanten nog weinig worden ingezet, maken veel telers al gebruik van lokplanten, overwinteringshabitat en het actief introduceren van nuttigen. Deze praktijkervaring biedt een sterke basis om binnen het B-LAB-project verder te werken aan effectieve en toepasbare strategieën.
Monitoring van functionele agrobiodiversiteit
Binnen het project werd ook een eerste monitoringsperiode uitgevoerd in het voorjaarsperiode (maart tot en met juni). Deze eerste monitoringscampagne werd uitgevoerd op twee locaties: de praktijkcentra Viaverda in Destelbergen (bloemen) en Kruisem (groenten).
Om een representatief beeld te verkrijgen van de aanwezige agrobiodiversiteit, werden verschillende bemonsteringsmethoden toegepast. Gele vangschalen werden ingezet voor het verzamelen van vliegende ongewervelden, terwijl bodemvallen gericht waren op bodembewonende en kruipende organismen. Daarnaast werd gebruikgemaakt van uitsluipvallen, dit is een tentvormige val die gebruikt wordt om organismen te inventariseren die aanwezig zijn in de bodem of op de vegetatie binnen een afgebakend oppervlak. Doordat de randen van de val met aarde worden afgesloten, worden enkel organismen bemonsterd die zich effectief binnen deze zone bevinden. Insecten en andere kleine organismen bewegen zich naar boven en worden opgevangen in een verzamelcontainer bovenaan de tent. Als deze val tijdens de winter wordt geplaatst, kan er bepaald worden welke soorten in de bodem of vegetatie overwinteren en op welk moment verschillende soorten in het voorjaar actief worden.
De vallen werden geplaatst op agro-ecologische relevante locaties. Binnen de tunnels gebeurde dit onder meer langs een bloemenstrook, in een strook bevertjesgras en op een groenbemester. Buiten de tunnels werden vallen geplaatst in structuurrijke elementen zoals een struikengordel en een gemengde haag. Het is belangrijk te benadrukken dat dit onderzoek momenteel nog een verkennend karakter heeft, aangezien het gebaseerd is op slechts twee locaties en één monitoringsjaar. De resultaten dienen dan ook voorlopig met de nodige voorzichtigheid geïnterpreteerd te worden. Het is dan ook de bedoeling om in het tweede projectjaar een uitgebreidere monitoring uit te voeren waarbij, naast de praktijkcentra, ook in tunnels van groenten- en bloementelers wordt gemonitord. Dit zal toelaten om na te gaan of de geobserveerde patronen ook in andere bedrijven voorkomen en over meerdere jaren.

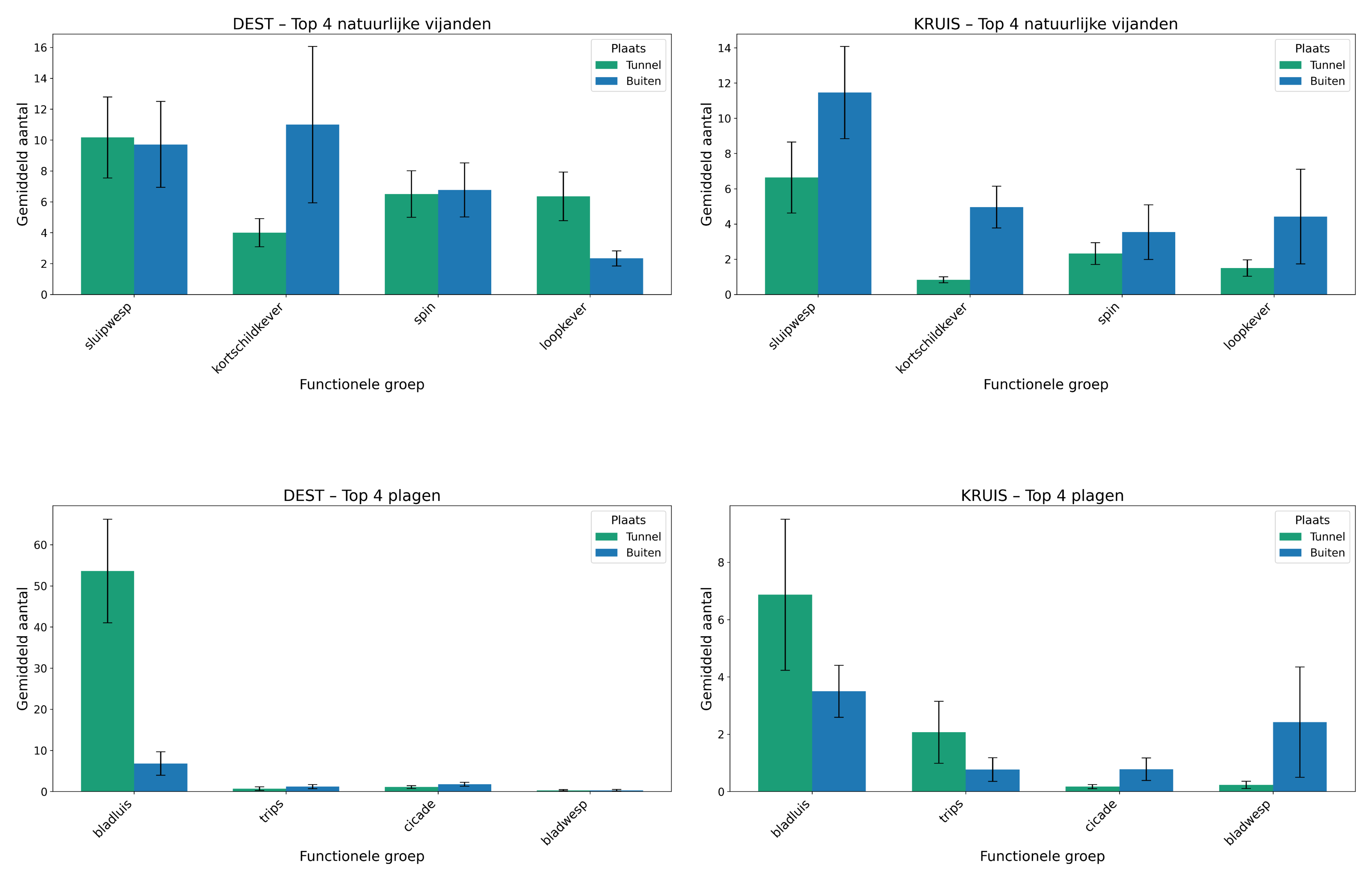
Bladluizen als voornaamste plaag, sluipwespen, loopkevers en spinnen als belangrijkste natuurlijke vijanden in de tunnel.
De resultaten bevestigen dat vroeg in het voorjaar bladluizen de belangrijkste plaag vormen in de tunnels (figuur 1). De meest waargenomen natuurlijke vijanden zijn sluipwespen (parasitoïden), spinnen, kortschildkevers en loopkevers. Andere functioneel belangrijke groepen, zoals gaasvliegen, lieveheersbeestjes en zweefvliegen, werden slechts in beperkte aantallen aangetroffen, zowel binnen als buiten de tunnels. Door deze lage aantallen is het moeilijker om duidelijke patronen te identificeren, maar het feit dat enkele individuen toch in de tunnels waargenomen werden, wijst op een potentieel in plaagonderdrukking. Als er waarnemingen gebeurden van gaasvliegen, lieveheersbeestjes of zweefvliegen, dan gebeurden deze vooral later in het voorjaar (mei-juni), ook buiten de tunnel. Dit wijst erop dat deze een latere activiteit in het seizoen hebben wat de lagere aantallen in maart-april kan verklaren. Voor deze specifieke natuurlijke vijanden (gaasvlieg, zweefvlieg en lieveheersbeestje) kan het interessant zijn om overwinteringsplaatsen te voorzien zodat ze vroeger en in grotere aantallen voorkomen in de tunnel.
In de bloementunnel in Destelbergen werd vastgesteld dat de aantallen natuurlijke vijanden binnen en buiten de tunnel varieert naargelang de functionele groep (figuur 1). Sluipwespen en spinnen kwamen in vergelijkbare aantallen voor binnen en buiten, terwijl loopkevers talrijker waren in de tunnel en kortschildkevers voornamelijk buiten de tunnel werden aangetroffen. Bladluizen kwamen in aanzienlijk hogere dichtheden voor binnen de tunnel, wat deels verklaard kan worden door de nabijheid van de vallen bij lupineplanten met daarop een grote populatie aan bladluizen en van een groot aantal bladluizen (en sluipwespen) in de uitsluipval boven een strook bevertjesgras.
In de groentetunnels in Kruisem werd een consistenter patroon binnen de natuurlijke vijanden vastgesteld. Voor zowel sluipwespen, kortschildkevers, spinnen en loopkevers worden hogere aantallen buiten aangetroffen dan in de tunnel. Dit kan verband houden met het feit dat de vallen buiten geplaatst werden in een goed ontwikkelde struiken en bomenstrook van enkele meters breed die hoge aantallen aan natuurlijke vijanden kan huisvesten. Net zoals in Destelbergen, werden er in de groentetunnels in Kruisem hogere aantallen aan bladluizen in de tunnel waargenomen. Ook trips werd in hogere aantallen aangetroffen, terwijl het omgekeerde patroon werd waargenomen voor cicades en bladwespen.

Bladluizen vroeg in het jaar aanwezig, sluipwespen als mogelijke plaagbeheerser?
Wanneer we de timing van de waarnemingen analyseren, wordt bevestigd – vooral in de tunnel in Destelbergen – dat bladluizen reeds vroeg in het jaar actief zijn in tunnels. Tegelijk blijkt dat ook natuurlijke vijanden al vroeg in het voorjaar aanwezig zijn (figuur 2). Naast loopkevers en spinnen als vroege natuurlijke vijanden kunnen vooral sluipwespen hierbij een belangrijke rol spelen in de beheersing van bladluizen. Op beide locaties, Destelbergen en Kruisem, werden dan ook significante aantallen sluipwespen vastgesteld. In Destelbergen wordt dit voor een stuk veroorzaakt door de hoge aantallen sluipwespen die werden aangetroffen in een uitsluipval boven een strook bevertjesgras. In deze val werden eveneens grote aantallen bladluizen gevonden, wat erop wijst dat zowel bladluizen als sluipwespen in deze vegetatie kunnen overwinteren. Indien deze bladluizen geen schade veroorzaken aan de hoofdteelt, biedt dit perspectieven voor het toepassen van een bankerplantsysteem. Hierbij worden specifieke planten ingezet waarop niet-schadelijke bladluizen kunnen overwinteren, samen met hun natuurlijke vijanden zoals sluipwespen. Op die manier kunnen sluipwespen reeds vroeg in het voorjaar actief worden in de tunnel en bijdragen aan de biologische bestrijding. De betrokken bladluis- en sluipwespensoorten worden momenteel verder geïdentificeerd om de mogelijke schadelijkheid van de bladluizen en het potentieel van de sluipwespen beter te kunnen inschatten.

De resultaten bevestigen dat plagen, in het bijzonder bladluizen, zich sterker ontwikkelen binnen tunnels. Tegelijk worden ook reeds vroeg in het seizoen relevante aantallen natuurlijke vijanden waargenomen in de tunnel, met name sluipwespen, loopkevers en spinnen. Het is daarom van groot belang om deze nuttige organismen in het vroege voorjaar maximaal te ondersteunen. Dit kan door het aanbieden van overwinteringshabitat zoals grasstroken en door het gebruik van bankerplanten met niet-schadelijke bladluizen. Daarnaast blijkt dat bepaalde belangrijke groepen natuurlijke vijanden, zoals lieveheersbeestjes, gaasvliegen en zweefvliegen, slechts beperkt worden waargenomen. Het aanbieden van geschikte overwinteringshabitats kan bijdragen aan een verhoogde aanwezigheid van deze groepen in tunnels. Het blijft nodig om deze waargenomen patronen verder te bevestigen via een uitgebreidere monitoring in tunnels bij commerciële groenten- en bloementelers zodat praktische aanbevelingen kunnen geformuleerd worden, gebaseerd op voldoende en robuuste data.
Meer info?
liesbet.blindeman@viaverda.be
