Bio paprika kouder telen: kies het juiste ras
Telers kunnen energie besparen door biologische paprika twee graden kouder te telen, op voorwaarde dat het juiste ras wordt gekozen. De proef met rode blokpaprika Margrethe en Alzamora vertoonde geen significante verschillen in opbrengsten bij een twee graden lagere etmaaltemperatuur. Toch lijkt Alzamora stabieler te blijven in opbrengst en kwaliteit. In het koudere regime lijkt Margrethe terug te vallen in productie en leverde meer (te) grove vruchten. Wie energie wil besparen, vindt in Alzamora een betrouwbare keuze.
Na de energiecrisis is de zoektocht naar energiebesparing in de serre actueler dan ooit, ook bij biotelers. Eén van de mogelijkheden is het telen bij een lagere temperatuur. Maar kan je bij paprika de temperatuur verlagen zonder dat de opbrengst en kwaliteit hieronder te sterk lijden? Om een antwoord te vinden op die vraag werd bij Viaverda een proef opgezet in biologische teelt paprika met twee temperatuurregimes in de verwarmde kas. Op 1 februari 2024 werden twee rassen blokpaprika’s geplant: Alzamora (Rijk Zwaan) en Margrethe (Enza Zaden), beide op onderstam Taritana TRC 3130 (The Rootstock Company). Er werd geoogst tot 9 november.
Kouder telen bij een 2°C lagere etmaaltemperatuur
In de serre met het normale regime werden een stook- en ventilatielijn toegepast volgens de gangbare praktijk in de biologische paprikateelt. De etmaaltemperatuur in het kouder regime werd 2°C lager ingesteld. De kastemperatuur die daadwerkelijk werd behaald, lag gemiddeld over het etmaal ongeveer 2°C lager dan in het normaal regime. Dit was alleen zo in het voorjaar en het najaar, want in de zomer zorgde de zon ervoor dat de temperatuur in de serres gelijk opliep. Wekelijks volgden we de bodemtemperatuur op. In het begin van de teelt was de bodemtemperatuur van de koudere serre tot 1°C lager, daarna niet meer.
Alzamora scoort beter op gewasgezondheid, Margrethe groeit compacter
Op regelmatige basis beoordeelden we het gewas, de opbrengst, vruchtvorm en -kwaliteit. We zagen weinig effect van de temperatuurregimes op het gewas, wel waren er rasverschillen. Alzamora groeide langer door en bereikte een hoogte tot 280 centimeter, terwijl Margrethe rond 240 centimeter bleef steken (en iets kleiner bij kouder regime). Margrethe had dikkere stengels, maar Alzamora toonde meer vitaliteit en gewasgezondheid en bleef ook later in het seizoen gezond. Daardoor gaf Alzamora een betrouwbaarder beeld, vooral in augustus en september.
In beide serres werden nuttigen ingezet tegen plagen. Onder het normaal regime dook vooral groene perzikluis (Myzus persicae) op, terwijl in het kouder regime boterbloemluis (Aulacorthum solani) dominant was. Die laatste soort is moeilijker te bestrijden en veroorzaakte gekrulde toppen en vergeling. Tegen het einde van de zomer kwam ook spint voor, vooral in het normale regime, dat is logisch want spint houdt van warme en droge omstandigheden.
Kouder telen vertraagt de kleuring
De eerste rode vruchten verschenen op 3 mei in de serre met normaal regime, terwijl dit in de koudere serre een week later was voor Alzamora en pas twee weken later voor Margrethe. Alzamora zette dus in beide klimaatomstandigheden sneller door dan Margrethe.
Alzamora houdt opbrengst vast, Margrethe zakt terug
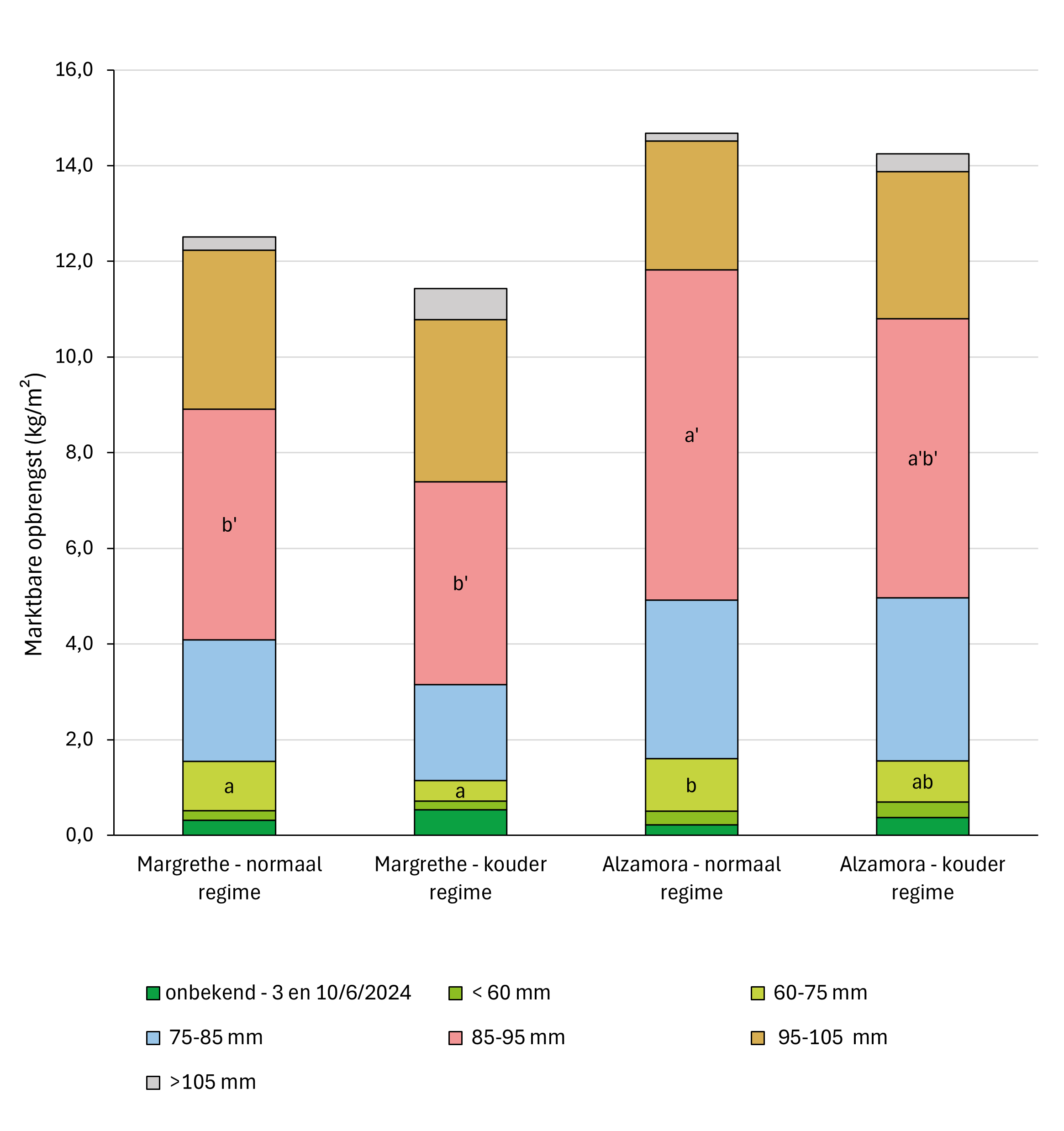
Hoewel de opbrengstverschillen niet significant waren, is er toch een trend te zien dat Alzamora minder gevoelig is voor lagere temperaturen. Margrethe haalde onder normaal regime 12,5 kg/m², maar zakte bij kouder telen naar 11,4 kg. Alzamora leverde 14,7 kg in normaal regime en kon dit met 14,3 kg bijna gelijk houden in de koudere serre.

Ook bij de vruchtmaat hield Alzamora stand. Margrethe gaf in het normale regime 70% vruchten kleiner dan 95 mm diameter, maar zakte naar 60% in het koudere regime. Alzamora scoorde beter: 79% bij normaal regime en nog steeds 73% bij kouder telen. De veilingnorm voor verhouding hoogte/diameter werd door Alzamora in beide regimes voor 96% van de gemeten vruchten behaald. Margrethe bleef daar telkens onder, respectievelijk 87% in normaal en 91% in het kouder regime.
Figuur 1 toont dat Alzamora onder normaal regime significant meer paprika’s in de diameterklasse 85-95 mm produceerde dan Margrethe. In het koudere regime produceerde Margrethe significant minder paprika’s in diameterklasse 60-75 mm dan Alzamora. Alhoewel er geen significante verschillen zijn, valt in de figuur op dat Margrethe bij kouder regime méér grove vruchten (> 95 mm) produceerde dan Alzamora.

Bewaarkwaliteit nauwelijks verschillend
De bewaartesten toonden weinig verschillen tussen de serres. De kleur en glans bleven aanvankelijk goed. Binnen de twee weken traden er geen rottingsproblemen op. Bij Margrethe leek het kouder regime het rotrisico wat te beperken. Toch waren de verschillen klein en leverde het telen aan lagere temperatuur hier geen nadeel op.
Alzamora betrouwbare keuze bij kouder telen
Uit deze proef blijkt dat kouder telen mogelijk is zonder grote kwaliteitsproblemen, maar het gekozen ras maakt het verschil. Margrethe lijkt opbrengst te verliezen, levert in koudere omstandigheden een week later dan Alzamora de eerste rode vruchten en geeft meer te grove vruchten zodra de temperatuur daalt. Alzamora blijft zowel in productie als in kwaliteit stabiel en het gewas blijft langer gezond.
Meer info?
an.vandewalle@viaverda.be

Dit onderzoek werd uitgevoerd met steun van het Agentschap Landbouw en Zeevisserij van de Vlaamse overheid.